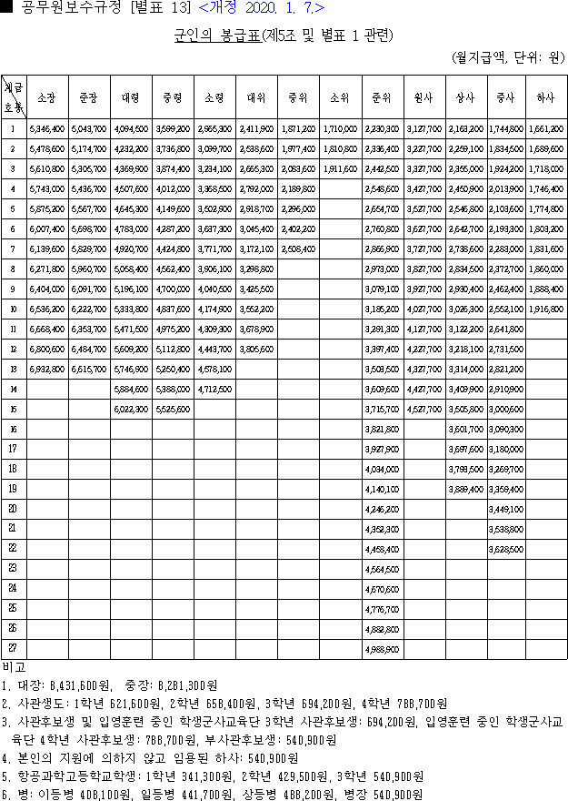
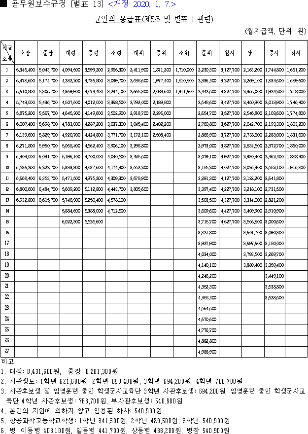
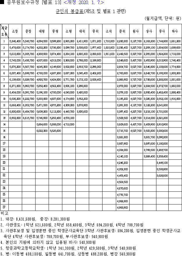
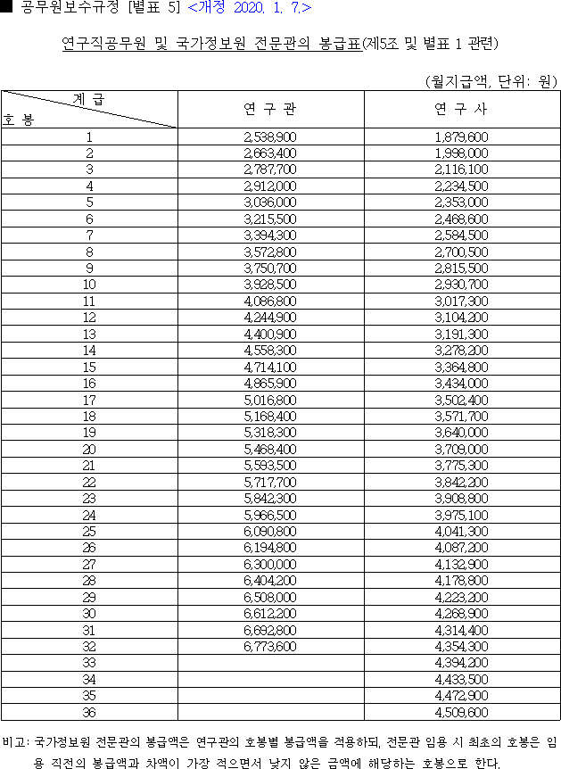
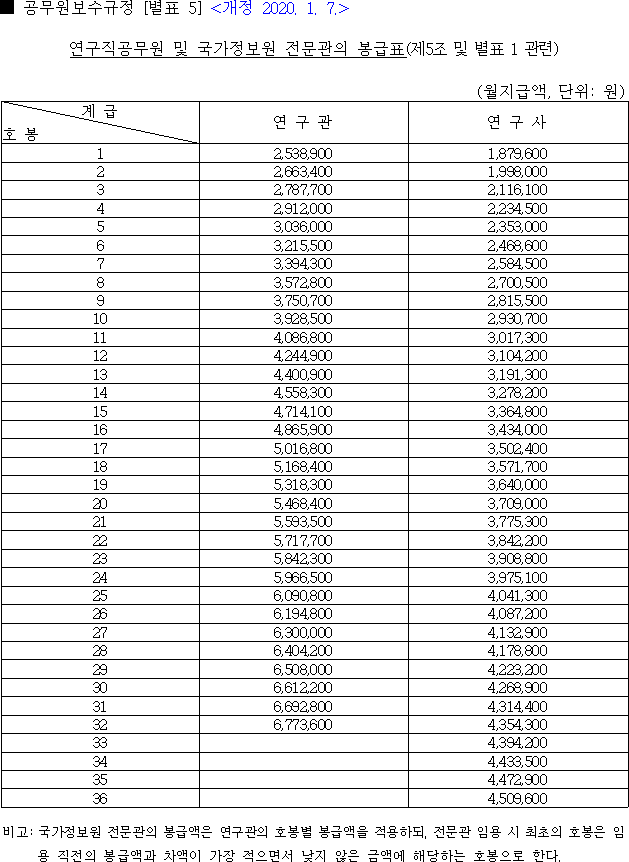
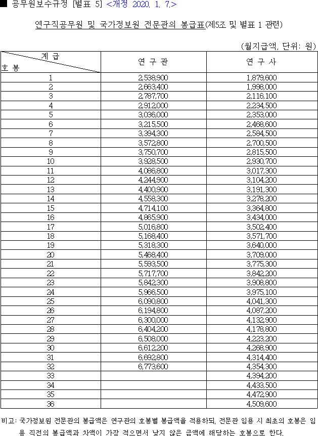
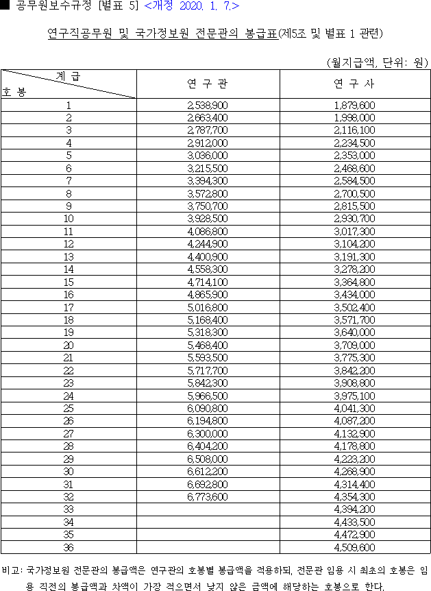
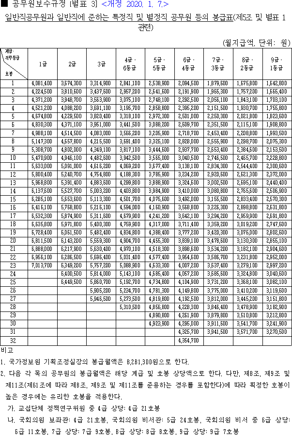
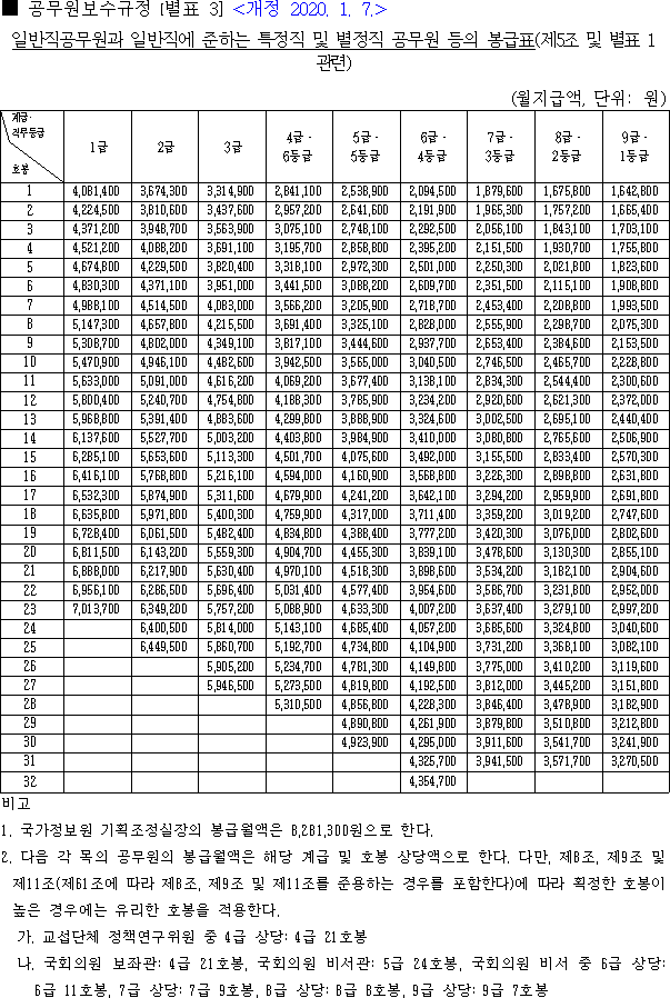
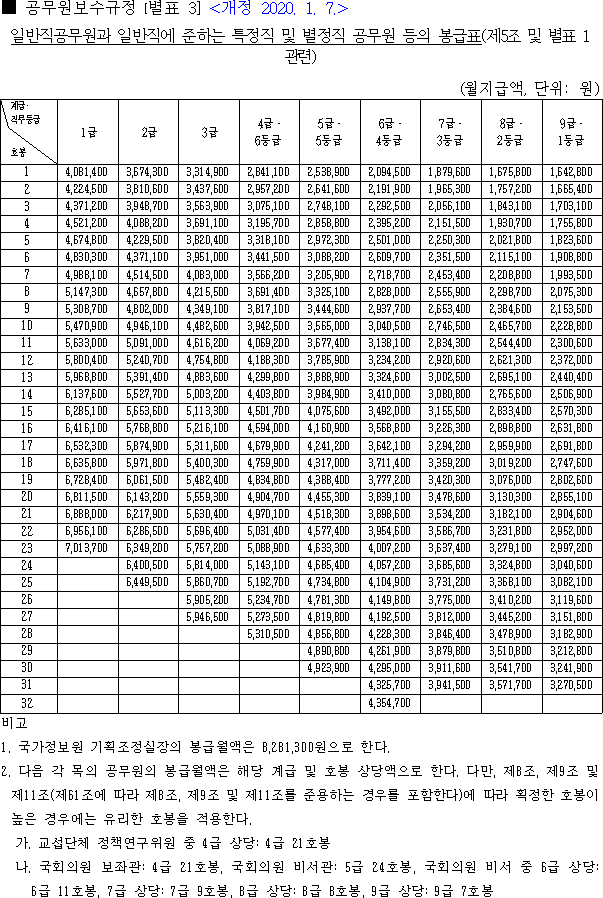
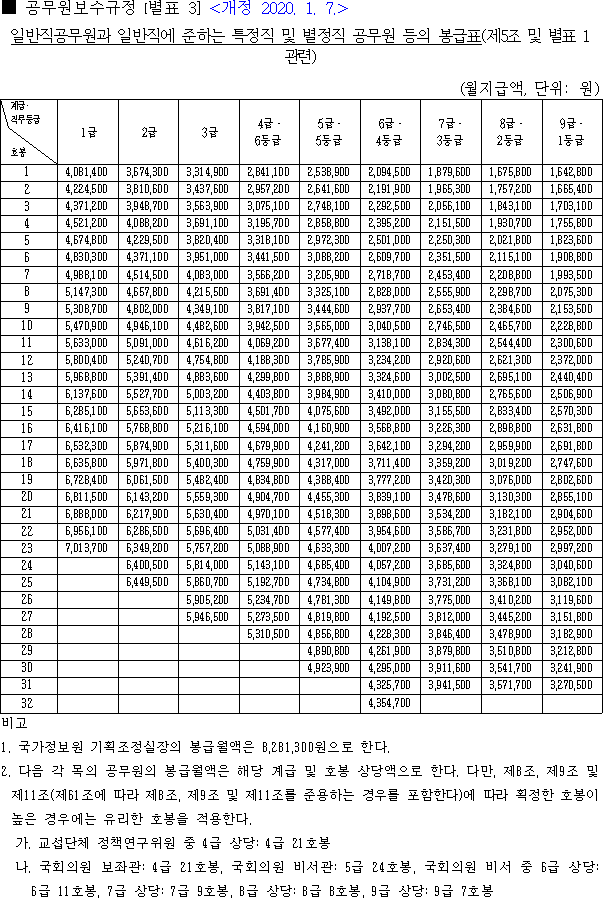
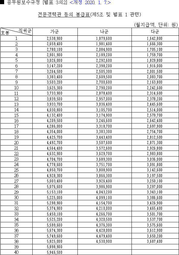
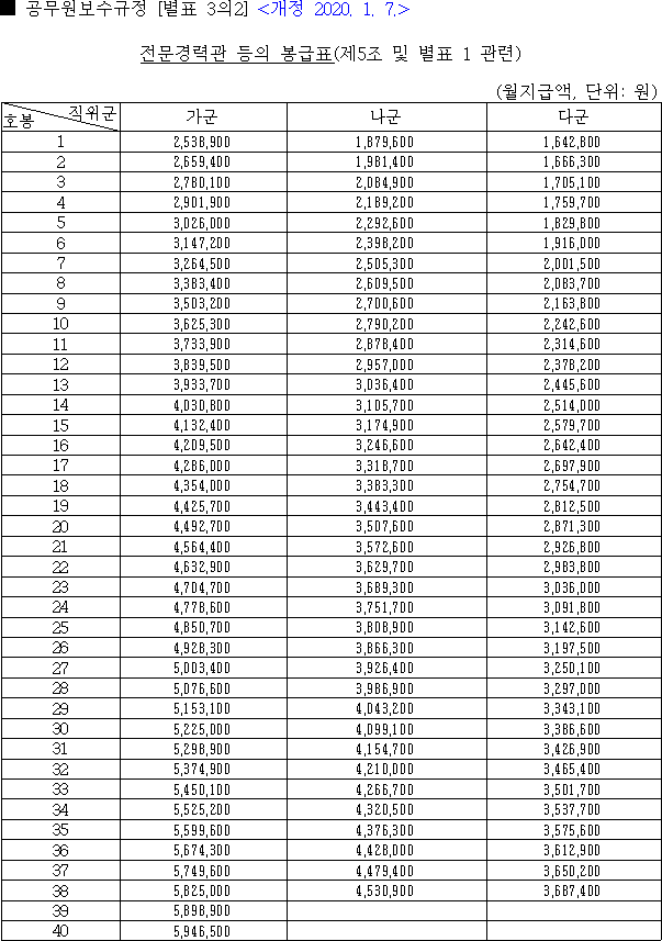
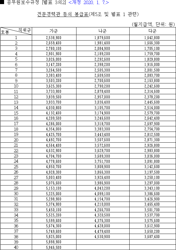
2020년 공무원의 봉급을 규정한 공무원 보수규정의 내용입니다.
공무원 보수 규정 개정은 매년 초에 이뤄지고 있는데요.
2020년도 공무원 보수 규정에도 2020년 공무원 봉급표가 별표로 첨부되어 있습니다.
2020 공무원 봉급표는 2019 공무원 봉급표 대비 2.8% 인상되었어요.
2016년에는 공무원 성과연봉제가 4급공무원 이상에서 5급공무원이상으로 확대될 것이라고 했지만, 전혀 확대될 기미가 보이지 않고 있습니다. ㅋ






2020 소방관 급여가 특별히 더 많아지지도 읺았지만 국가직공무원이 되어서 지방 소방관도 차별없이 장비를 지원받게되어 다행이다.
경찰간부후보생과 소방간부후보생은 동일하게 경찰관 순경 소방관 소방사 1호봉 월급의 80%를 월급으로 받는다.
하지만 임관과 동시에 군필 남자는 2+간부후보생 기간의 호봉이 더해 진다.
최소 2호봉 이후 6개월 정도 뒤에 1호봉이 더해지므로 군필 간부후보생은 임관을 하면 경위 3~4호봉, 소방위 3~4호봉을 받게된다.
만약 특전사 부사관이나 장교출신이라면 훨씬더 많은 호봉이 인정된다.






아래는 2018년 공무원 봉급표
2018 소방공무원 봉급표
2018년 공안업무에 종사하는 공무원 호봉표
2018 교사 호봉표
18년 군인 월급
공무원 봉급표 2018
'공무원 정보 > 수당,봉급' 카테고리의 다른 글
| 2021년 공무원 봉급 인상률 2021 공무원 봉급표 교직원 호봉표 교수 임금 (0) | 2020.09.03 |
|---|---|
| 2021년 경찰공무원 봉급표 2021 군인 월급 (0) | 2020.08.13 |
| 2021년 공무원 봉급 인상률 내년 2021년 보육 교사 호봉표 2020 공무원 봉급표, 군인 월급 (0) | 2020.07.30 |
| 2020년 교육공무원 근가 봉급표 2020 교사 호봉표 교원 호봉 (0) | 2020.02.29 |
| 2020년 공무원 초과근무수당 단가표 (휴일 근무수당, 야근수당) 2020공무원 시간외수당 지급기준 (0) | 2020.02.11 |