공무원 봉급표 2024 교사 호봉표, 검사 월급
2024년 공무원 봉급표: 상세 분석
매년 초, 인사혁신처는 새로운 공무원 봉급표를 공개합니다. 이는 국가 운영의 주요 역할을 맡은 공무원들의 생활 수준을 결정짓는 중요한 요소로, 공무원들의 사기에도 직결되는 중요한 문제입니다. 2024년의 경우, 예년과 달리 상당한 인상률을 보였으며, 이는 많은 사람들의 관심을 끌고 있습니다. 이번 글에서는 2024년 공무원 봉급표의 주요 내용과 인상률의 의미, 그리고 봉급표를 해석하는 방법에 대해 자세히 살펴보겠습니다.


공무원 봉급표란?
공무원 봉급표는 국가나 지방자치단체에서 일하는 공무원들이 받는 급여를 직급과 호봉에 따라 체계적으로 정리한 표입니다. 공무원의 급여는 기본 급여 외에도 여러 수당이 더해져 최종적으로 결정됩니다. 여기에는 정액급식비, 직급보조비, 직무수당 등이 포함되며, 이러한 수당은 기본 급여를 기준으로 지급됩니다.

예를 들어, 명절휴가비나 정근수당 등은 기본 급여의 일정 비율로 지급되기 때문에, 기본 급여의 인상 여부가 전체 급여에 큰 영향을 미칩니다.
2024년 공무원 봉급 인상률 분석
2024년 공무원 봉급 인상률은 전년 대비 2.5%로 확정되었습니다. 이는 최근 몇 년간의 인상률과 비교했을 때 상당히 높은 수치입니다. 이러한 인상은 코로나19 팬데믹으로 인해 경제적 어려움을 겪고 있는 공무원들의 실질적인 소득을 보전하기 위한 정부의 노력이 반영된 결과입니다.
최근 공무원 봉급 인상률 및 물가상승률 비교
| 구분 | 2018년 | 2019년 | 2020년 | 2021년 | 2022년 | 2023년 | 2024년 |
| 물가상승률 | 1.5% | 0.4% | 0.5% | 2.5% | 5.1% | 3.8% | ? |
| 공무원봉급 인상률 | 2.6% | 1.8% | 2.8% | 0.9% | 1.4% | 1.7% | 2.5% |
위 표에서 알 수 있듯이, 2024년의 공무원 봉급 인상률은 최근 4년간 가장 큰 폭으로 증가한 것입니다. 이는 공무원들의 생활 안정과 복지를 증진시키기 위한 조치로 볼 수 있습니다.
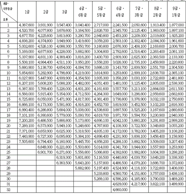
직급별 공무원 봉급표
일반직 공무원 봉급표

일반직 공무원 봉급표는 가장 많은 공무원들이 속해 있는 직렬입니다. 일반직 공무원의 기본급은 직급과 호봉에 따라 다르며, 승진할 때마다 급여가 상승합니다. 호봉이 올라갈수록 급여도 증가하게 됩니다. 아래는 일반직 공무원의 예시 봉급표입니다:
- 9급 1호봉 봉급: 1,770,800원 → 1,877,000원
- 9급 2호봉 봉급: 1,903,000원
- 9급 3호봉 봉급: 1,940,800원
- 5호봉 이상: 월 봉급 2,054,700원
경찰 및 소방 공무원 봉급표

경찰과 소방 공무원은 각각 11개의 계급으로 구분되며, 이들의 업무 특성과 중요성을 반영한 봉급 구조를 가지고 있습니다.
- 경위 1호봉 봉급: 매월 2,261,900원 (연봉 약 2,700만 원)
- 소방사 및 순경 1호봉 봉급: 매월 1,877,000원 (연봉 약 2,250만 원)
교사 봉급표

교사의 봉급은 호봉제에 따라 결정되며, 교사의 경력과 직급에 따라 다릅니다. 예를 들어, 2024년 교사 봉급표에서 8호봉의 교사 기본급은 2,193,500원입니다. 여기에 다양한 수당이 포함될 수 있습니다.
검사 봉급표 2024
신임 검사의 초봉은 약 441만 원입니다.

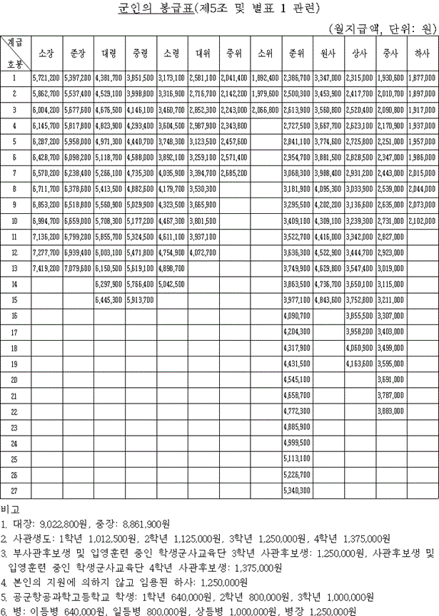
군인 봉급표 2024

군인 봉급표 2024
국립대학 교수 및 특수 교육 기관 교원 봉급표 2024

2024 국립대학 교수 월급 및 특수 교육 기관 교원 봉급표
2024년 전문경력관 및 특수직 공무원 봉급표 분석

2024 전문경력관 봉급표
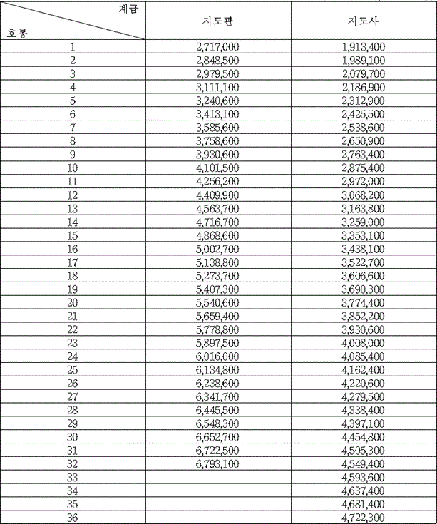
지도직 공무원 봉급표 2024

2024년 지도직 공무원 봉급표
연구직 공무원 및 국가정보원 전문관 봉급표

연구직 공무원 및 국가정보원 전문관 봉급표
우정직 공무원 봉급표 2024

2024년 우정직 공무원 봉급표
공무원 봉급 인상률의 의미
공무원 봉급 인상률은 물가 상승률을 고려하여 결정됩니다. 이는 공무원들의 생활 수준이 물가 상승에 따라 크게 변동되지 않도록 하기 위한 조치입니다. 특히, 2022년과 2023년의 높은 물가 상승률에 비해 비교적 낮은 봉급 인상률로 인해 공무원들의 실질적인 생활 수준이 하락할 우려가 있었으나, 2024년에는 이를 보완하기 위해 높은 인상률을 적용한 것으로 보입니다.
공무원들의 반응과 정부의 대책
공무원 노조에서는 직급별로 차등 인상을 요구했지만, 최저임금 인상률과 동일한 2.5%로 결정된 것에 대해 일부 불만을 표출했습니다. 특히 하위직 공무원들은 상대적으로 더 큰 박탈감을 느낄 수밖에 없습니다. 이는 최근 몇 년간 청년 공무원들의 이직률 증가와도 연관이 있습니다. 젊은 공무원들은 낮은 급여 인상률과 높은 업무 강도, 불안정한 미래로 인해 민간 부문으로의 전환을 고려하는 경우가 많습니다.
정부는 공무원들의 봉급 인상률을 결정할 때 경제 상황과 재정 여건을 고려하지만, 공무원들의 사기 저하와 이직률 증가 문제도 함께 해결해야 합니다. 이를 위해 공무원들의 복지 증진, 근무 환경 개선, 직무 만족도 향상 등의 종합적인 대책이 필요합니다. 특히 하위직 공무원들의 급여 인상과 복지 혜택을 강화하여 이들이 안정적으로 근무할 수 있는 환경을 조성하는 것이 중요합니다.
결론
2024년 공무원 봉급 인상률은 최근 몇 년간의 인상률과 비교했을 때 매우 높은 수준으로, 이는 공무원들의 생활 안정과 복지를 증진시키기 위한 조치입니다. 공무원 봉급표는 공무원들의 기본 급여와 각종 수당을 체계적으로 정리한 표로, 공무원들의 실질적인 소득에 큰 영향을 미칩니다. 정부는 공무원들의 사기와 생활 수준을 고려한 인상률을 적용하여 공무원들이 안정적으로 근무할 수 있는 환경을 조성하는 것이 중요합니다.
키워드
공무원 봉급표 2024, 공무원 봉급 인상률, 공무원 급여, 공무원 생활 수준, 2024년 공무원 봉급, 공무원 수당, 경찰 봉급, 소방 공무원 봉급, 교사 봉급, 공무원 복지
'정보,상식 > 직장,경영' 카테고리의 다른 글
| 2024년 조리실무사 급여 및 학교급식 조리원 월급: (0) | 2024.08.01 |
|---|---|
| 2025년 공무원 봉급 인상률 (0) | 2024.07.08 |
| 근로기준법 휴게시간 포함 점심시간 포함? (0) | 2024.06.11 |
| 근로기준법 연차일수 연차휴가 발생 기준 (0) | 2024.05.29 |
| 공무원 정년연장 65세까지 단계적인 연장 추진 (0) | 2024.05.01 |