국가공무원 행정안전부 전보 인사명단.
아니 뭐 승진도 아니고 과장급 전보 인사인데... 볼 사람들 있을까?
그나저나 내일이나 모레는 검찰 검사장 인사 완료되려나?

◇과장급 전보
▲국가기록원 행정기록지원과장 황선업
▲국가기록원 연구협력과장 조이형
▲국가기록원 디지털기록혁신과장 한능우
▲국가기록원 지원총괄과장 이승억
▲국가기록원 특수기록지원과장 김형국
▲국가기록원 공공기록지원과장 조진상
▲국가기록원 서비스정책과장 전종태
▲대통령기록관 행정기획과장 박이상
▲대통령기록관 생산지원과장 이진영
▲제주청사관리소장 이영인
▲이북5도 평안북도 사무국장 최정례
▲국립과학수사연구원 연구기획과장 유 호
▲코로나19 대책지원본부 총괄조정관실 자가격리자 관리전담반 정제룡
국과수가 행안부 소속이었넹.
경찰청 소속이 아니라 행안부소속이었다니...
국과수는 춘천에 본점이 있다.
행정안전부 국가기록원 산하 대통령기록관 은 세종시에 있다.

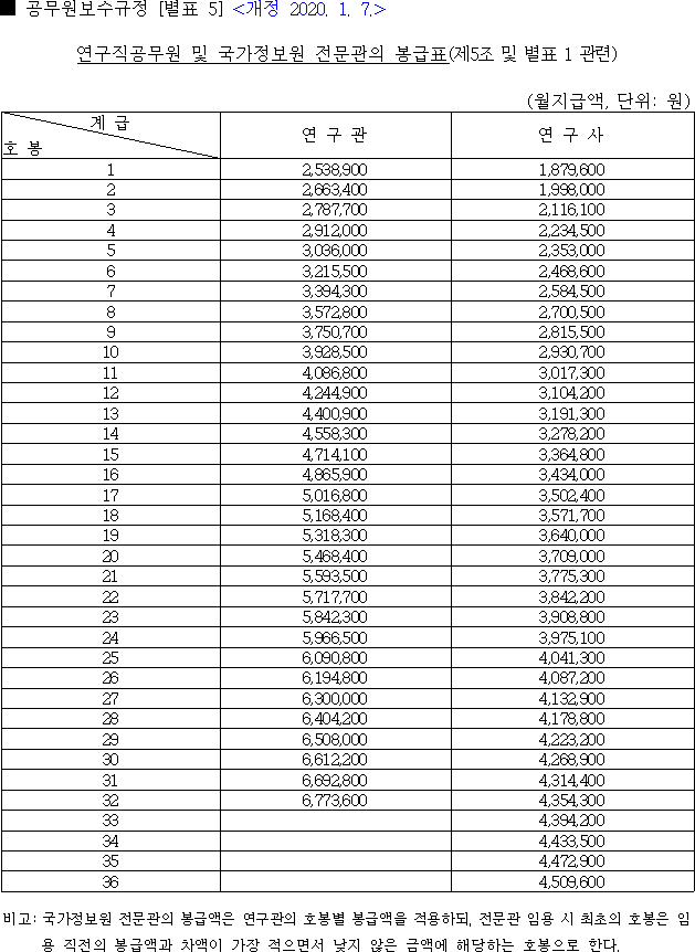
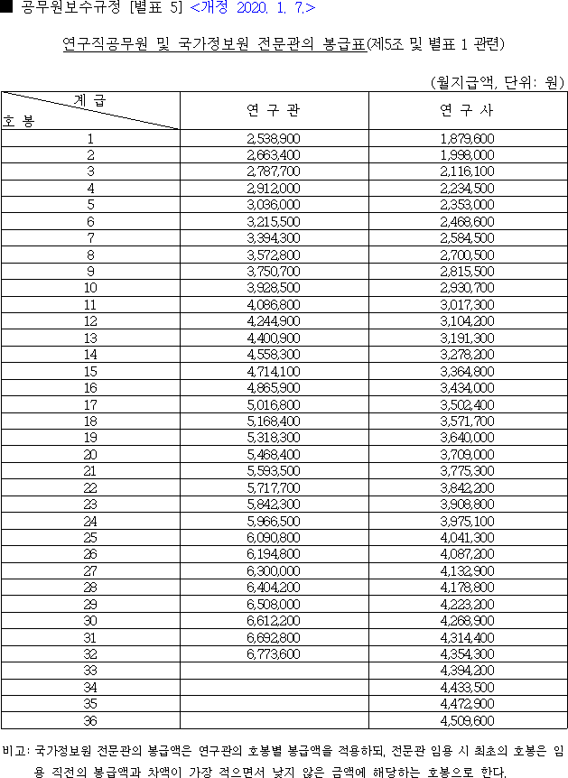
당연하겠지만 행정안전부의 대다수 직원은 일반직 행정 공무원이겠지만 국가기록원 및 국과수 직원 중에는 기록연구사를 비롯해서 공업연구사 등의 연구직 공무원이 존재한다.
연구직 공무원 월급은 다음과 같다.

2021년 연구원 월급은 대략 1.7%인상될 전망이니 2021 연구직공무원 호봉표를 다음과 같이 예상해 볼 수 있다.

이 급여는 기본급이기 때문에 이걸 12배 히한다고 해서 국과수 직원이나 국가기록원 연구사 연봉이라 할 수는 없어도 대략 1.5배하면 비슷하다.
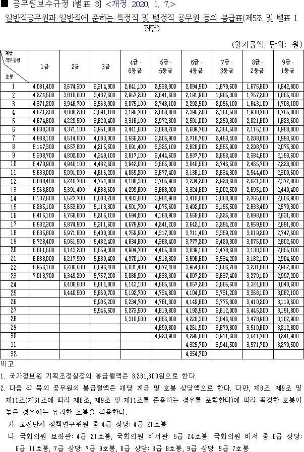
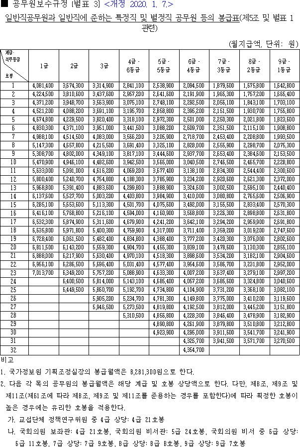
아래는 2020년 일반직공무원 봉급표와 2021년 공무원 임금인상을 예상한 표다.


'공무원 정보 > 공무원 시험, 임용 정보' 카테고리의 다른 글
| 2020 검찰 인사 검사장 승진자 명단. 이성윤 서울중앙지검장 유임, 검사 고검장 발령 (0) | 2020.08.07 |
|---|---|
| 2020년 경찰청 치안정감 인사 장하연 지방경찰청장, 계급체계 치안감 승진자 명단 장하연 이은정 송정애 (0) | 2020.08.04 |
| 지방공무원 승진인사 남양주시 4급 5급 6급 공무원 승진자 명단 (0) | 2020.08.02 |
| 한국외대 교원 인사 서울여대 보직인사 목원 대학교 학장인사 (0) | 2020.08.02 |
| 지방공무원 영덕군 대전시 광주 서구 4급 승진자 명단 서울 동대문구 5급 안양시 6급 승진 인사 (0) | 2020.08.01 |