2022년이 시작된 지 얼마 안 된 거 같은데 유난히 짧은 2월을 마주하니 벌써 2월 말이네요.
곧 3월이고 봄다운 봄이 오겠죠?
이 글은 2020년에 처음 영국에서 시작되어...
아... 아니...
2020년에 처음 작성되어 2021년에 업데이트됐던 글이다.
2022년에도 뭐 똑같은 내용이라 특별히 글을 업데이트할 것은 딱히 없기 때문에 추가만 한다.
2022 공무원 호봉표의 임금 인상률은 1.4%이다.
코로나 이전의 공무원 봉급 인상률이 매년 못해도 2% 대였던 것에 반해 터무니없이 낮은 인상률이지만, 2021년에 비해서는 소폭 상승했다.
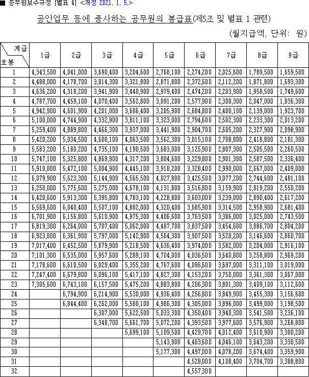
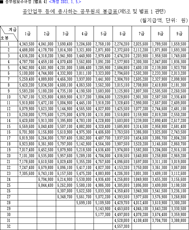
글 제목처럼 먼저 2022년 공안직공무원 봉급표를 2022 타 직렬 봉급표보다 먼저 소개한다.
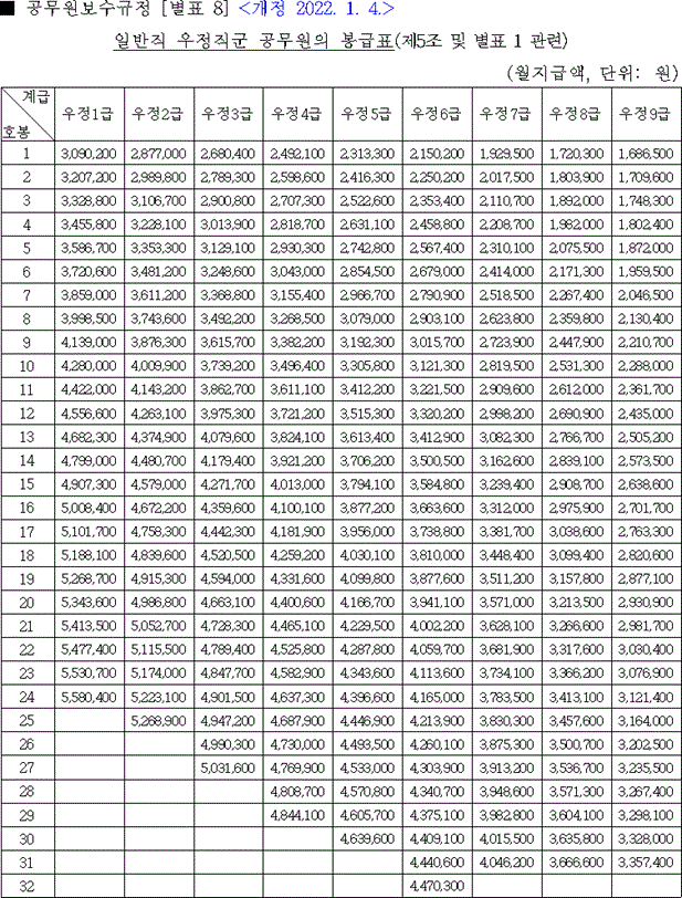
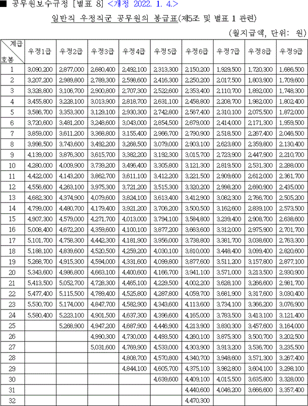
2022년 공무원 봉급표


참고로 공안직 공무원은 법무부 소속이 많다.
의외로 많은 사람들이 경찰청이 법무부의 외청으로 인식하는 사람들이 많다.
소방관과 마찬가지로 경찰은 행정안전부 소속 공무원이다.
소방청을 관장하는 부서는 행정안전부지만 불과 몇 년 전까지 소방관은 국가직 공무원이 아니라 지방직 공무원으로 각 지자체에서 예산을 집행했었다.
공안직 공무원은 국가직 공무원으로 교도소에 있다.??
교정직 공무원인 교도관이 바로 공안직 공무원에 해당한다.
그 이외에도 공안직 공무원은 보호관찰관, 검찰 사무, 검찰 마약수사, 국정원 직원, 출입국관리 등의 업무에 종사한다.

공안직 공무원이라 함은 검찰청 마약 수사관, 철도 경찰직 공무원 철도공안직 공무원 등 분야가 다양하다.
일반직 공무원에 비해 현장감이 있지만, 경찰이나 소방공무원에 비해 덜 힘들다? 는 정도의 중간 급여로 인식되어 왔다.
2021년 공무원 호봉표를 보면 2021 공안직 9급 1호봉 급여는 2021 일반직 공무원 9급 1호봉 급여와 동일하다.
이 것은 현재로는 좀 더 업무강도가 강한 소방직 공무원이나 경찰공무원 봉급표에서도 최하위 직급의 급여가 일반 행정직 공무원과 같다.
2018년 이후로 시정되지 않고 있다.
2021년 공안직 공무원 봉급표

공안 공무원을 단순히 철도공무원이라고 소개하던 블로그 글을 본 적이 있다.
앞서도 언급했지만 검찰청 수사관이나, 국회 경위 방호 공무원, 심지어 국정원 직원까지 다양한 범위에 포진돼 있는 것이 바로 이 공안직 공무원이다.
청사방호직은 공안 직렬이 아닌 일반직렬 행적 방호업무로 분류된다.
2021년 소방공무원 봉급표 2021 경찰 공무원 봉급표

2020년 소방공무원이 국가직 공무원으로 전환됐다.
당연히 원래 국가직 공무원인 경찰 공무원과 더불어 국가의 지원을 받게 됐다.
반대로 경찰이야 말로 지방공무원으로 변경돼야 하는 게 아닌가 싶다.
2021 일반직렬 공무원 봉급표

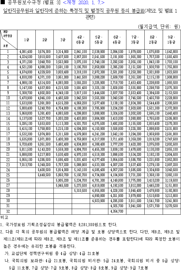
2020 공안직 공무원 봉급표

2020년 일반직 공무원 봉급표

2020 경찰 공무원 봉급표


사진은 청원경찰들의 사격 훈련 사진이지만 공안직 공무원 중에도 시설 방어를 위해 사격 연습을 하기도 한다.
청원 경찰이 뭔 총기를 소지하나 싶겠지만, 원전 경비 등의 국가 중요시설을 경비하는 청원 경찰에게는 총이 지급되기도 한다.
청원경찰은 공안직 공무원이 아니다.
별도로 채용되며, 준공무원 대우를 받는다.
엄밀히 말하자면 방호직 공무원과는 별도라고 볼 수 있다.
참고로 방호직 공무원 봉급은 일반직 공무원 봉급과 기본급 체계가 같기 때문에 별도로 봉급표가 제공되지 않는다.
방호직 공무원은 대통령 경호처, 국가정보원(안전 직렬), 감사원, 행정안전부(정부청사관리본부 등), 문화체육관광부, 고용노동부, 해양수산부, 법무부, 외교부, 중소벤처기업부, 통일부, 국가보훈처, 검찰청, 국세청, 문화재청, 병무청, 과학기술정보통신부, 환경부, 농림축산 식품부 등에서 경비 등의 방호 업무에 종사하는 공무원이다.
청원경찰 하고는 미묘하게 다르다.
2022년 청원경찰 봉급표는 아직 발표 전인지 구할 수가 없었다.
공무원에 준하기 때문에 2021년 대비 1.4% 인상된 급여로 생각하면 된다.
2021년 청원경찰 호봉표를 보면 다음과 같다.

2018년에 kbs 드라마에서 우리가 만난 기적이라는 드라마를 했었죠.
거기서 딱풀이라고 송현철 지점장의 죽마고우 친구가 송현철이 지점장으로 있는 신화 은행의 청원경찰 역으로 나옵니다.
그런데 이 딱풀이의 이력이 흥미롭습니다.
전직이 소방관이었어요.
소방관을 그만두고 은행 청원경찰을?
소방관은 공무원이지만 은행 청원경찰은 더더욱 공무원이 아니죠.
은행에서 일하는 청원경찰은 이 글에서 이야기하려는 2019년 청원경찰 봉급표의 청경과는 전혀 다른 신분입니다.

공무원은 아니지만 공무원에 준하는 청경들이 있습니다.
국가직 청원경찰, 지방직 청경, 공기업 청경 등으로 분류되는 직종이 있습니다.
정부기관에서 일하지만, 공무원은 아닌 청원경찰법 시행령에 의해 채용된 국가 및 지방 시설의 방호와 보안 경비를 담당하는 분들입니다.
우체국에도 이런 신분의 분들이 계시죠.
계약직 집배원 같은 분들인데요.
공무원의 인력을 마음대로 충원할 수 없기 때문에 이런 업무를 담당하는 외주인력들이 존재합니다.
근원적인 질문에 대한 답입니다.
2019 청원경찰 봉급표는 얼마나 될까?입니다.

2019 청원경찰 봉급표

2018 청원경찰 호봉표
기본적으로 청경은 계급이 없으며, 경찰이라는 이름이 붙어 있지만 경찰 신분도 아니거니와 경찰처럼 누군가를 체포할 수 있는 권한이 없습니다.
[간혹 일부 지식인들에서 청원경찰 계급이 순경, 경장, 경사, 경위로 나뉜다고 답을 한 글이 있습니다만... 자기들끼리 주고받는 장난 같은 계급일 뿐 법으로 정해진 것은 없으며 계급장 역시 그냥 서로 간의 존중을 위한 것일 뿐 계급으로써의 의미는 없습니다.]

수사 같은 것은 더더욱 할 수 없겠죠?
다만 이들의 업무인 경비 업무를 방해하는 등의 행위를 하는 경우에는 공무집행 방해죄의 적용을 받습니다.
대신 만 59세까지 정년이 보장되며, 휴직과 명예퇴직 등의 경우 국가공무원에 준하는 대우를 받습니다.
뿐만 아니라 수당 등에 있어서도 공무원 복지포인트를 받습니다.
'공무원 정보 > 수당,봉급' 카테고리의 다른 글
| 조선시대 관료 월급과 현대 공무원 봉급 비교 (0) | 2023.07.21 |
|---|---|
| 2023년공무원 봉급표 기준 총정리 (0) | 2023.05.26 |
| 공무원 정근수당 지급기준 계산법 가산금 교육 경찰 군인 교원 2022년 공무원 봉급표 2022 교사 호봉표 월급 날짜 자녀학비보조수당 (0) | 2022.01.07 |
| 2022년 공무원 봉급 인상률 얼마나? 2022 공무원 봉급표 (1) | 2021.07.16 |
| 공무원 초과근무수당 단가표 2021 공무원 시간외수당 지급기준 (0) | 2021.06.01 |