오늘은 하나의 정보를 들고 왔습니다.
2021 공무원봉급표를 들고 왔어요!!
올해도 공무원 준비를 하는 분들이 많으실 겁니다.
그래도 합격을 하시기 전에 얼마나 급여를 받고 일하는지 궁금하실 겁니다
그래서 지금 같이 한번 보겠습니다.
우선 전과 비교하기 위해 2020, 2019년도 공무원 봉급표를 보여드리면서 비교를 해보겠습니다.

2019 공무원 봉급표를 보면 2018년에 비해서 1.8%가 인상되어 최근 5년 동안 가장 낮은 수준이란 말이 있었습니다.
올해 그 기록이 깨졌죠.
그리고 2019년도에는 공무원 신규 지원에 대한 국민 부담을 줄이고, 실업률도 높은 상황에서 솔선수범하자는 차원으로 1.8% 인상이 되었는데요.
이를 적용한 금액은 9급 1호봉, 3호봉 기준 최저임금 1,745,150원 정도를 밑도는 수준이었습니다.
9급 3호봉의 경우, 최저임금 산정 기준을 적용하면 월급이 최저임금보다 16,000원가량 적은 수치를 기록하기에 최저임금을 밑도는 공원 임금은 사기진작 차원에서 1.8% 올려서 지급받고 있습니다.
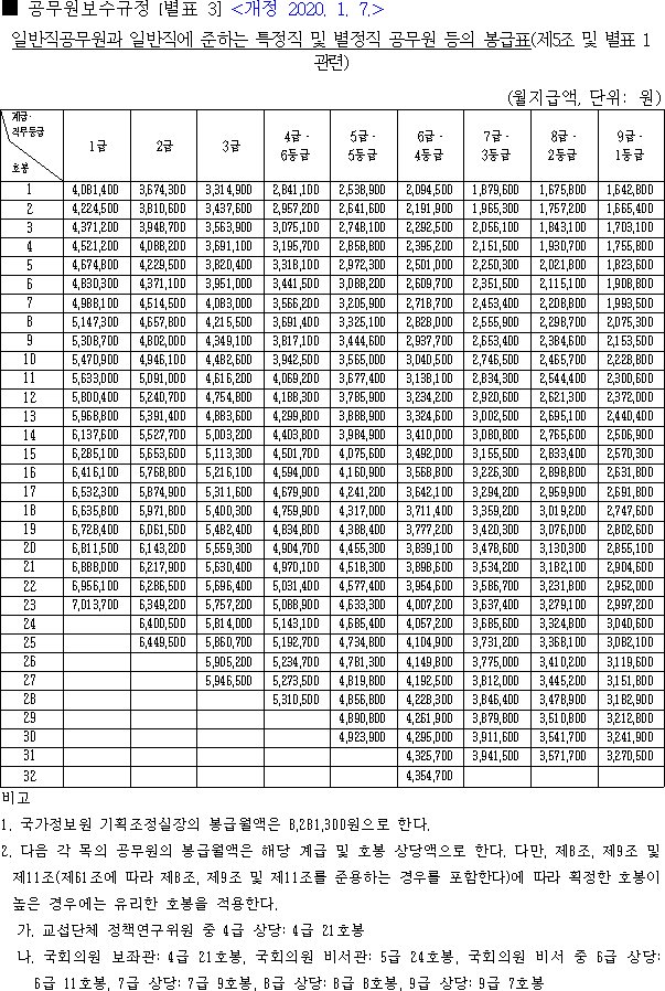
그렇다면 다음은 2020 공무원 봉급표를 보여드리면서 추가적인 설명을 드리겠습니다.

2020 공무원 봉급표는 2020 공무원 봉급
인상률인 2.8%를 기준으로 계산을 해봤습니다.
2015년 이후부터 3년간 3%대의 인상률을 보이다 2018년도 2.6% 2019년도에는 1.7%까지 떨어졌는데 이번에는 2.8%를 올려 조금 더 나아졌다 볼 수 있습니다.

2020 공무원 봉급표를 보시면 9급 1호봉의 경우 1,637,000원이 월급입니다.

봉급 인상률은 2020 공무원 봉급 인상률인 2,8%는 2017년 3.5% 이후 가장 높은 수준이라고 합니다.
최근 2015~ 2017년의 각각 인상률은 3,8% 3% 3,5%로 모두 3%대였지만 2018년 2,6% 2019년 1,7%로 떨어졌습니다.

2021 공무원봉급표
2021년 공무원 봉급 인상률은 0.9%에 불과했습니다.
역대 최저 인상률이죠.
여기에 수당과 이것저것 붙어야 최저 급여 수준이 맞지 않나? 생각이 듭니다.
그렇기에 최근 공무원 처우개선이 안된 측면이 있기에 공무원 보수위원회에서 권고한 가장 낮은 수준이 28%로 정해진 공무원 봉급 인상이라고 합니다.
이렇게 되면 수강에서도 적용된 금액을 지급받게 됩니다.
지금까지 이렇게 2021 공무원 봉급표에 대해 설명드렸습니다.

공무원 준비하시는 여러분들도 좋은 결과 있으시길 바라며 2021공무원봉급표 보시고 알아가길 바랍니다.

다음에 또 봬요~
2021공무원봉급표 알려드림.
'공무원 정보 > 수당,봉급' 카테고리의 다른 글
| 교육공무원 봉급표 2021 교사 호봉표 근가 고등학교 초등학교 선생님 월급 중등교사 초봉 획정 (0) | 2021.05.28 |
|---|---|
| 2021년 교육공무원 봉급표 2021 교사 월급 (0) | 2021.03.23 |
| 2021년 공무원 직급보조비 정액급식비 인상 대민활동비 특수직무수당 (0) | 2020.12.30 |
| 교육 공무원 명절휴가비 지급기준 군인, 교원, 교사 추석 상여금 명절수당 지급일 (0) | 2020.09.23 |
| 2020년 소방공무원 봉급표 - 2021 소방관 월급, 연봉, 계급장 (0) | 2020.09.08 |