2024년 군인 봉급표 월급표 (장교, 부사관, 병사 월급)
2024년, 군인들의 월급에 대한 중요한 변화가 예정되어 있습니다. 정부는 공무원 임금을 2.5% 인상하기로 결정하였으며, 이로 인해 군인들의 월급도 상승하게 됩니다. 하지만 초급 간부들과 병장 간의 월급 차이가 크게 좁혀지지 않아 사기 저하와 부사관 모집에 어려움이 있을 수 있습니다.

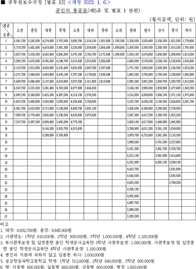
2023년 현재 간부 (장교, 부사관) 군인 월급 테이블입니다. 본 급여 테이블에 나와 있지 않은 계급의 월급을 확인하겠습니다.

- 대장 : 8,802,700원
- 중장 : 8,645,800원
- 사관생도 : 1학년 810,000원, 2학년 : 900,000원, 3학년 : 1,000,000원, 4학년 : 1,100,000원
- 부사관후보생 및 입영훈련 중인 학생군사교육단 3학년 사관후보생 : 1,000,000원
- 부사관후보생 및 입영훈련 중인 학생군사교육단 4학년 사관후보생 : 1,100,000원
- 본인 지원에 의하지 않고 임용된 하사 : 1,000,000원
- 공군항공과학고등학교 학생 : 1학년 512,000원, 2학년 : 640,000원, 3학년 : 800,000원
사관 및 부사관 생도를 제외하고 최저 하사 1,770,800원부터 최고 월급인 대장 8,802,700원까지 광범위하고 세밀하게 급여 책정이 되어 있습니다.

2024 장교 및 부사관 월급 인상 예상
현재로서는 2024 장교 및 부사관 월급 인상 테이블이 아직 확정되지 않았습니다. 그러나 조만간 인상된 월급 테이블을 확인할 수 있을 것으로 예상됩니다.
1. 소장~소위 봉급표 (장교)
군인 봉급도 일반 공무원과 마찬가지로 2.5% 인상됩니다. 아래는 2024년 장교의 봉급표입니다.
| 호봉 | 소장 월급 | 중장월급 | 대령월급 | 중령월급 | 소령월급 | 대위 월급 | 중위 월급 | 소위 월급 |
| 1 | 5,721,200원 | 5,397,200원 | 4,381,700원 | 3,851,500원 | 3,173,100원 | 2,581,100원 | 2,002,500원 | 1,830,000원 |
| 2 | 5,862,700원 | 5,537,500원 | 4,529,100원 | 3,998,800원 | 3,316,900원 | 2,716,700원 | 2,116,300원 | 1,937,900원 |
| 3 | 6,004,100원 | 5,677,700원 | 4,676,500원 | 4,146,100원 | 3,460,800원 | 2,852,300원 | 2,230,000원 | 2,045,800원 |
| 4 | 6,145,600원 | 5,817,900원 | 4,823,900원 | 4,293,400원 | 3,604,600원 | 2,987,900원 | 2,343,800원 | |
| 5 | 6,287,000원 | 5,958,100원 | 4,971,300원 | 4,440,800원 | 3,748,400원 | 3,123,500원 | 2,457,600원 | |
| 6 | 6,428,500원 | 6,098,300원 | 5,118,600원 | 4,588,100원 | 3,892,200원 | 3,259,100원 | 2,571,400원 | |
| 7 | 6,569,900원 | 6,238,600원 | 5,266,000원 | 4,735,300원 | 4,036,000원 | 3,394,700원 | 2,685,100원 | |
| 8 | 6,711,400원 | 6,378,800원 | 5,413,400원 | 4,882,600원 | 4,179,800원 | 3,530,400원 | ||
| 9 | 6,852,800원 | 6,519,000원 | 5,560,800원 | 5,029,900원 | 4,323,600원 | 3,666,000원 | ||
| 10 | 6,994,300원 | 6,659,200원 | 5,708,200원 | 5,117,200원 | 4,467,400원 | 3,801,600원 | ||
| 11 | 7,135,700원 | 6,799,400원 | 5,855,600원 | 5,324,500원 | 4,611,200원 | 3,937,200원 | ||
| 12 | 7,277,200원 | 6,939,700원 | 6,003,000원 | 5,471,800원 | 4,755,000원 | 4,072,800원 | ||
| 13 | 7,418,600원 | 7,079,900원 | 6,150,400원 | 5,619,100원 | 4,898,800원 | |||
| 14 | 6,297,800원 | 5,766,400원 | 5,042,600원 | |||||
| 15 | 6,445,200원 | 5,913,700원 |
2024년 장교들의 월급은 호봉과 계급에 따라 다양하게 결정되며, 상대적으로 소위 1호봉의 월급이 낮아 사기 저하 우려가 있습니다.
2. 부사관 봉급표
부사관들의 충원 문제가 심각한 상황입니다. 2023년에는 국군 부사관 충원율이 5년 만에 처음으로 90% 미만으로 하락한 바 있습니다. 부사관과 병사 간 월급 격차가 좁혀질 경우, 상대적인 박탈감과 부사관 모집 어려움이 심화될 것으로 예상됩니다. 아래는 2024년 부사관의 봉급표입니다.
| 호봉 | 준위 | 원사 | 상사 | 중사 | 하사 |
| 1 | 2,386,800원 | 3,347,100원 | 2,315,000원 | 1,867,100원 | 1,815,100원 |
| 2 | 2,500,300원 | 3,454,000원 | 2,417,700원 | 1,963,100원 | 1,836,200원 |
| 3 | 2,613,900원 | 3,560,900원 | 2,520,400원 | 2,059,200원 | 1,857,300원 |
| 4 | 2,727,500원 | 3,667,800원 | 2,623,100원 | 2,155,200원 | 1,878,500원 |
| 5 | 2,841,000원 | 3,774,700원 | 2,725,800원 | 2,251,300원 | 1,899,600원 |
| 6 | 2,954,600원 | 3,881,600원 | 2,828,500원 | 2,347,300원 | 1,899,600원 |
| 7 | 3,068,200원 | 3,988,500원 | 2,931,200원 | 2,443,300원 | 1,930,000원 |
| 8 | 3,181,800원 | 4,095,400원 | 3,033,900원 | 2,539,400원 | 1,960,500원 |
| 9 | 3,295,300원 | 4,202,300원 | 3,136,700원 | 2,635,400원 | 1,990,900원 |
| 10 | 3,408,900원 | 4,309,300원 | 3,239,400원 | 2,731,500원 | 2,021,300원 |
| 11 | 3,522,500원 | 4,416,200원 | 3,342,100원 | 2,827,500원 | 2,051,800원 |
| 12 | 3,636,000원 | 4,523,100원 | 3,547,500원 | 2,923,600원 | |
| 13 | 3,749,600원 | 4,630,000원 | 3,650,200원 | 3,019,600원 | |
| 14 | 3,863,200원 | 4,736,900원 | 3,752,900원 | 3,115,600원 | |
| 15 | 3,976,700원 | 4,843,800원 | 3,855,600원 | 3,307,700원 | |
| 16 | 4,090,300원 | 3,958,300원 | 3,403,800원 | ||
| 17 | 4,203,900원 | 4,061,000원 | 3,499,800원 | ||
| 18 | 4,317,500원 | 4,163,700원 | 3,595,900원 | ||
| 19 | 4,431,000원 | 3,691,900원 | |||
| 20 | 4,544,600원 | 3,787,900원 | |||
| 21 | 4,658,200원 | 3,884,000원 | |||
| 22 | 4,771,700원 | ||||
| 23 | 4,885,300원 | ||||
| 24 | 4,998,900원 | ||||
| 25 | 5,112,400원 | ||||
| 26 | 5,226,000원 | ||||
| 27 | 5,339,600원 |
2024년 부사관들의 월급은 호봉에 따라 다르며, 상대적으로 박탈감이 줄어들도록 인상되었습니다.
3. 병사 월급
병사 월급도 2024년에 인상될 예정입니다. 아래는 2024년 병사 월급의 변화입니다.
2024 병사 월급 인상 확정
병사 월급은 매년 완만한 곡선을 그리며 인상되더니 2018년부터 2배 가까운 오름세를 보이며 병사 월급이 간부 월급보다 높은 인상폭을 보여주고 있습니다.
국가 4대 의무중 하나인 징병의 의무를 임해야 하는 군인 입장에서 그동안 턱없이 낮은 급여를 받으며 헌신하였으나 현재는 나라를 지키는 가치를 적정한 금전으로 보전받게 되어 긍정적인 결과라 보입니다.
2023년 보다 2024년 병사 월급이 다시 인상을 하게 되는데요. 아래 표를 참고하여 확인하겠습니다.
| 구분 | 이병 | 일병 | 상병 | 병장 |
| 2022년 | 510,100원 | 552,100원 | 610,220원 | 676,100원 |
| 2023년 | 600,000원 | 680,000원 | 800,000원 | 1,000,000원 |
| 2024년 | 640,000원 | 800,000원 | 1,000,000원 | 1,250,000원 |
정부에서 발표한 2024 병사 월급은 다음과 같습니다.
- 이병 : 640,000원
- 일병 : 800,000원
- 상병 : 1,000,000원
- 병장 : 1,250,000원
2018년부터 급격한 인상세를 보이며 2024년까지도 급여가 계속해서 오를 것으로 예상됩니다. 이로 인해 복무 중인 군인들은 제대 후에 더 높은 급여를 받을 것으로 기대됩니다.
- 이병: 2023년 60만원 → 2024년 64만원
- 일병: 2023년 68만원 → 2024년 80만원
- 상병: 2023년 80만원 → 2024년 100만원
- 병장: 2023년 100만원 → 2024년 125만원
또한, 병사들은 군에 입대하면 내일준비지원금(군인적금)을 가입할 수 있는데, 2024년에는 월 최대 40만 원으로 인상될 예정입니다.
병사들의 월급은 2024년에도 상당한 인상이 예상되며, 적금 혜택도 더욱 향상될 것입니다. 병사들은 국방을 수행하면서도 나라를 위해 헌신하는 데 큰 역할을 합니다.
이로써, 2024년 군인들의 월급에 대한 중요한 정보를 제공드렸습니다. 군인들의 헌신과 봉사에 대한 감사의 마음을 함께 표현하며, 앞으로의 변화와 개선에 기대해봅니다.
'공무원 정보 > 수당,봉급' 카테고리의 다른 글
| 3자녀 대학 등록금 면제 다자녀 국가장학금 성적 기준 (0) | 2024.01.04 |
|---|---|
| 2024년 교원 성과급 지급액 2024 공무원 성과상여금 지급기준액 지급시기 (0) | 2023.12.03 |
| 2024년 공무원 봉급 인상률 적용 예상 2024 공무원 봉급표, 교사 호봉표, 군인 월급 (0) | 2023.08.24 |
| 우체국 집배원 월급, 2023년 우정직 공무원 봉급표, 무기 계약 상시집배원 (0) | 2023.07.30 |
| 2024년 공무원 봉급표 예측과 2024 공무원 봉급 인상과 인상률 (0) | 2023.07.30 |