2024년 시간선택제 공무원 월급 채용 특수직무수당 급여
부제: 공무원 시간선택제, 월급과 특수직무수당에 대한 이해
세상이 변화하면서 우리의 생활과 일의 형태도 함께 변화하고 있습니다. 워라밸(WORK-LIFE BALANCE)은 그중 하나로, 시간과 업무를 균형 있게 조절하여 삶의 질을 높이는 노력을 의미합니다. 이에 발맞춰, 공무원들 사이에서도 시간선택제 공무원이 주목받고 있습니다. 이 글에서는 시간선택제 공무원의 월급과 특수직무수당에 대해 알아보겠습니다.

우선, 시간선택제 공무원에 대한 오해를 해소하기 위해 이 제도의 본질을 이해해야 합니다. 시간선택제는 경력단절 여성들의 복직을 촉진하고, 공공부문 고용률을 높여 양질의 일자리를 제공하기 위한 제도입니다. 이름 때문에 오해를 받을 수 있지만, 시간을 자유롭게 선택할 수 있는 것은 아닙니다. 근무시간은 주당 15시간에서 30시간으로 정해져 있으며, 대체로 이는 정규직 공무원의 절반에 해당합니다.
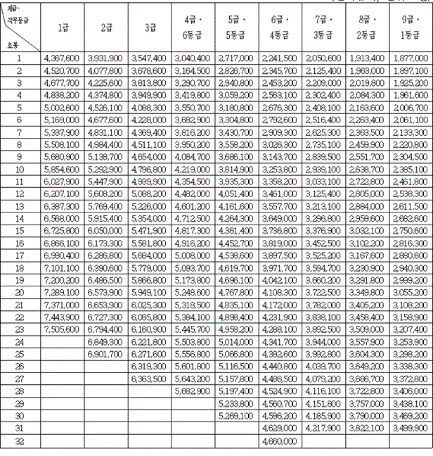
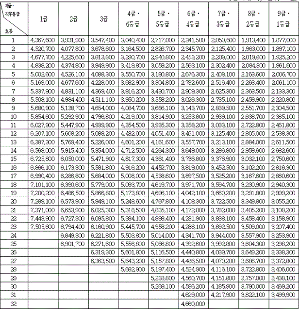
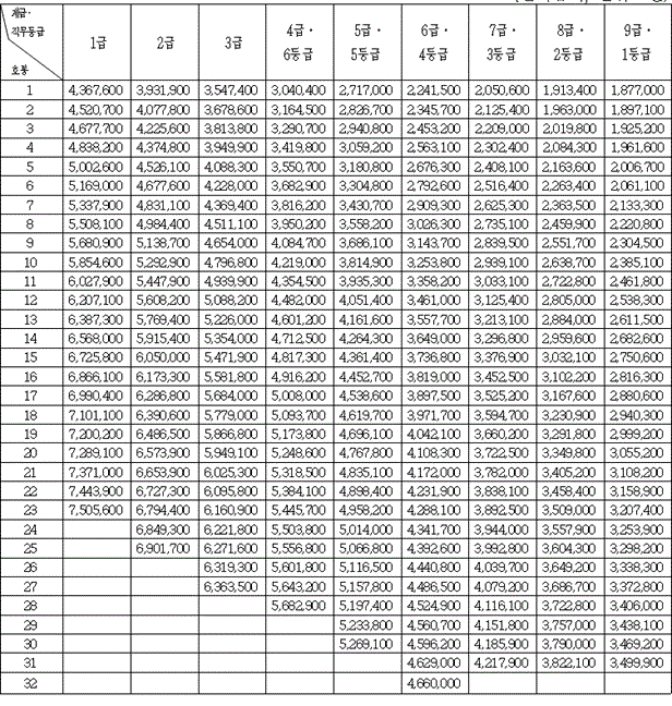
2024년 시간선택제 공무원 봉급표는 어떻게 될까요?

이러한 근무시간에 따라 월급도 조정됩니다. 시간선택제 공무원의 월급은 해당 직렬의 기본급의 절반에 해당합니다. 예를 들어, 9급 공무원의 경우 1호봉일 때의 기본급이 187만 원이라면, 시간선택제로 채용된 경우 절반인 93만 5천원을 받게 됩니다. 또한, 가족수당과 자녀 학비보조수당은 종일제 공무원과 동일한 금액이 지급되며, 특수직무수당이 추가로 지급됩니다. 이를 통해 시간선택제 공무원의 실질적인 수입은 약 155만 원 정도로 계산됩니다.
하지만, 이러한 혜택에도 불구하고 시간선택제 공무원들의 신분에 대한 불만이 존재합니다. 대부분은 전일제 공무원으로 채용되지 못한 취준생들이나 육아 등의 이유로 시간선택제를 택한 경우이며, 이들은 전일제 공무원과의 차별을 느끼고 있습니다. 승진이나 호봉 승급에 있어서도 전일제 공무원과의 차별이 존재하며, 시간제에서 전일제로 전환하려면 새로운 시험을 통해 전일제 공무원으로 임용되어야 합니다.
이러한 문제들을 해결하기 위해서는 시간선택제 공무원의 대상을 경력단절 여성으로만 국한하는 것이 아니라, 공무원 채용 시 시간선택제와 전일제를 공존시키는 방안을 모색해야 합니다. 또한, 시간제 공무원의 권리와 혜택을 보다 폭넓게 보장하여 공무원으로서의 자부심과 만족도를 높일 필요가 있습니다.
'공무원 정보 > 수당,봉급' 카테고리의 다른 글
| 2025년 공무원 봉급표 인상률 (0) | 2024.07.24 |
|---|---|
| 공무원 직급보조비, 과연 비과세인가요? (0) | 2024.07.15 |
| 공무원 직급보조비 인상 무산에 대한 깊은 이해와 전망 (0) | 2024.02.19 |
| 2024년 공무원 초과근무수당 단가표 군인 교사 우정직 공안직공무원 청원경찰 시간외수당 (0) | 2024.01.07 |
| 3자녀 대학 등록금 면제 다자녀 국가장학금 성적 기준 (0) | 2024.01.04 |