몇 년전에 도로에서 동물을 구제하려고 출동했던 소방차가 25톤 트럭에 추돌당해서 안타까운 소방관 3명이 숨지는 사고가 있었습니다.
인상이 깊었던 사건이라 아직도 전 기억이 납니다.
그리고 지난겨울에는 끔찍한 화재사고가 많았었습니다.
예년에 비해 사고건수는 줄었지만 종편과 언론들이 앞다퉈서 화재사고를 보도하는 바람에 여론이 좋지 못했습니다.
이렇게 추운 겨울에 특히 고생하시는 분들이 바로 소방공무원들입니다.

목숨을 걸고 불철주야 고생하시는 소방공무원들의 노고에 항상 감사드립니다.
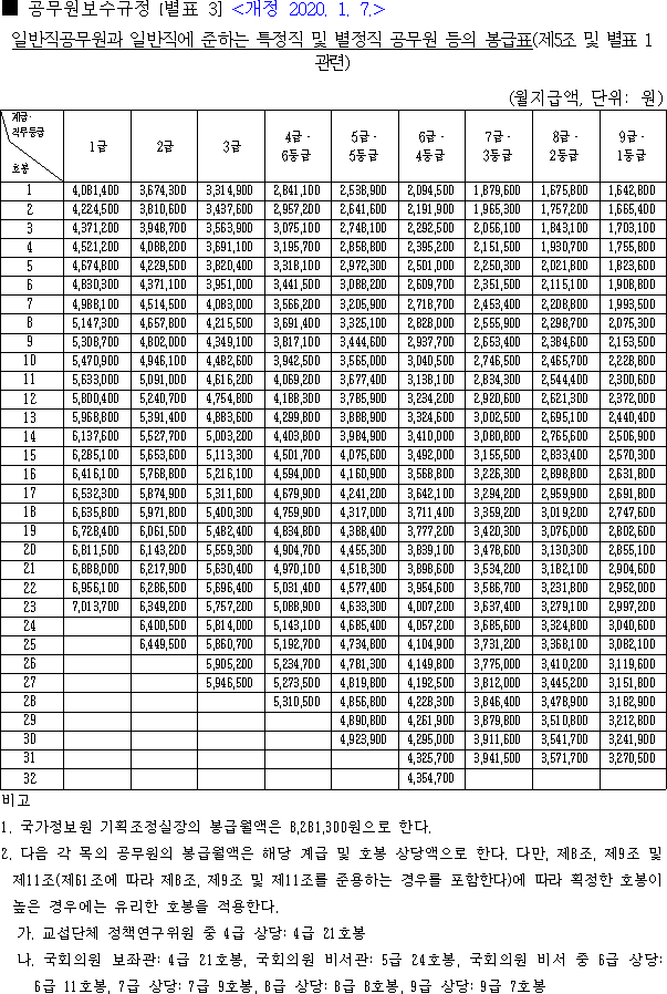
오늘은 2020년 소방공무원 봉급표에 대해서 살펴보겠습니다.
소방관과 경찰공무원은 모두 지방직 공무원이었습니다만, 최근에 소방공무원은 국가직 전환이 됐죠.
경찰은 여전히 지방직 공무원입니다.
지자체의 영향력 아래에 놓여 있고 지방자치정부의 예산에 좌우되는 공무원입니다.
꼭 그래서는 아니지만 이 두 공무원은 항상 급여가 같이 표기됩니다.
2020년 경찰공무원 봉급표 = 2020 소방공무원 봉급표입니다.
공무원의 급여는 공무원 보수규정에 별표로 포함되어 있습니다.


소방관 및 경찰 급여는 일반직 공무원 봉급표에 비해서 급여가 살짝 높았습니다만...
2018년부터는 말단 공무원 급여가 같아졌습니다.

하지만 그분들의 고생과 업무강도에 비하면 그리 높은 금액도 아니죠.
사람의 목숨 값을 어찌 금액으로 환산할 수 있을까요.

그런데 말입니다.
2021 소방공무원 봉급 인상률이 0.9%에 불과합니다.
아직 공식 발표전이지만, 0.9%인상률로 계산된 2021 소방공무원 봉급표는 다음과 같습니다.

소방관 연봉은 소방관 월급의 단순한 12배는 아닙니다.
연봉은 보통 세전을 따지니까, 일단 월급의 12배를 하고, 각종 수당을 더해주면 연봉이 될 것입니다.
이때 더해지는 수당에는 정액급식비, 명절휴가비, 정근수당, 가산금, 가족수당, 성과상여금, 시간 외 근무 수당 등이 포함되게 됩니다.

소방관도 계급 직렬입니다.
일사불란하게 움직여야 하는 업무 특성상 엄격한 계급은 필수일 것입니다.
소방관 월급 표에서도 계급 및 호봉으로 나뉘어 있죠.
소방관의 계급장은 다음과 같습니다.

소방준감-소방감-소방정감-소방총감 계급장

소방장-소방위-소방경-소방령-소방정 계급장

소방사시보-소방사-소방교 계급장
'공무원 정보 > 수당,봉급' 카테고리의 다른 글
| 2021년 공무원 직급보조비 정액급식비 인상 대민활동비 특수직무수당 (0) | 2020.12.30 |
|---|---|
| 교육 공무원 명절휴가비 지급기준 군인, 교원, 교사 추석 상여금 명절수당 지급일 (0) | 2020.09.23 |
| 2021년 공무원 봉급 인상률 2021 공무원 봉급표 교직원 호봉표 교수 임금 (0) | 2020.09.03 |
| 2021년 경찰공무원 봉급표 2021 군인 월급 (0) | 2020.08.13 |
| 공무원 봉급표 2020 소방공무원 봉급표 직업군인 월급 ,소방관 , 교사 호봉표, 교원 급여, 기록연구사 연봉 국정원 직원 월급여 (0) | 2020.08.05 |